• Предмет: Алгебра
  • Автор: vichkar04
  • Вопрос задан 2 года назад

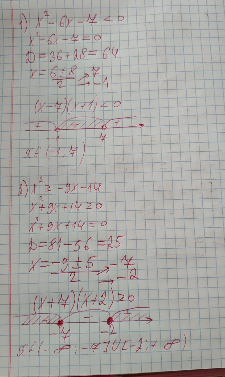
Решите неравенство:

1. x^2-6х-7<0

2. x^{2}\geq-9х-14

3. x^{2}-7х\leq30

Ответы

Ответ дал: VitalikMaksymchuk
0

Объяснение:

рисунок..............

Приложения:
Вас заинтересует