• Предмет: Алгебра
  • Автор: mXn57
  • Вопрос задан 2 года назад

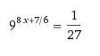
Решите показательное уравнение. Ответ должен получиться -6

Приложения:

Ответы

Ответ дал: mmb1
0

В этом примере ответ не -6

9^(8x + 7/6) = 1/27

3^2(8x + 7/6) = 3^-3

16x + 7/3 = -3

16x = - 3 - 7/3 = - 9/3 - 7/3 = -16/3

x = -1/3

Вас заинтересует