Ответы
Ответ дал:
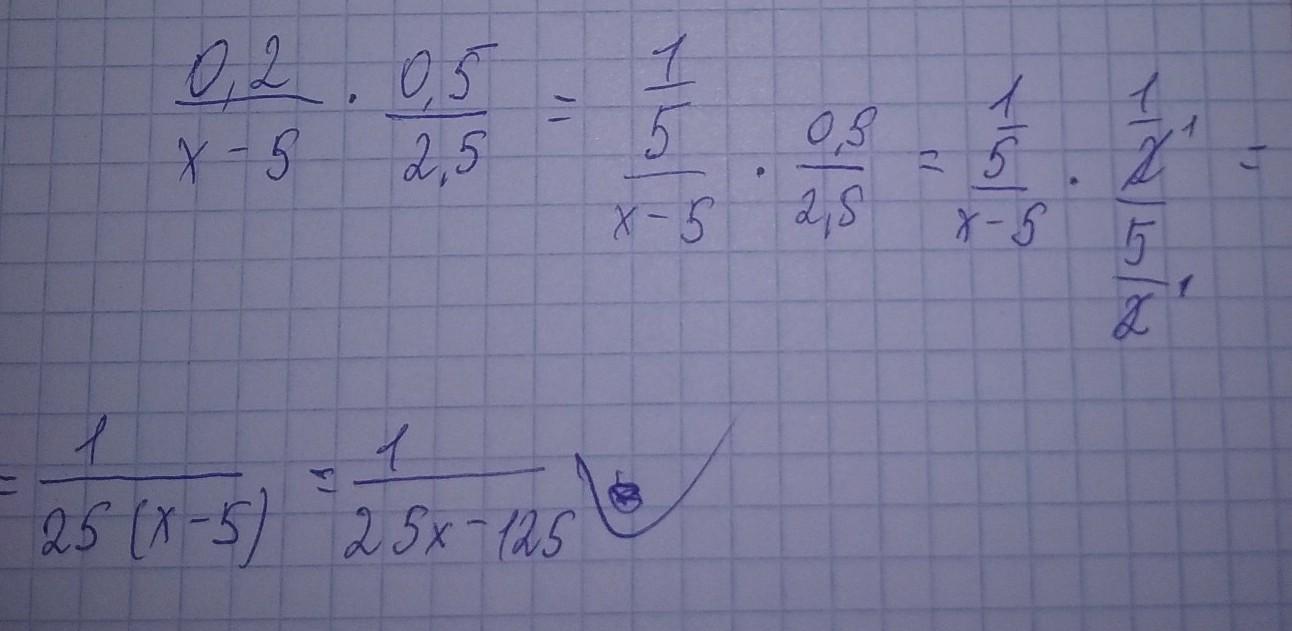
1
Ответ:
!!!!!!!!!!!!!!!!!!!!!!
Приложения:

Вас заинтересует
1 год назад
1 год назад
1 год назад
1 год назад
3 года назад
3 года назад
8 лет назад