Ответы
Ответ дал:
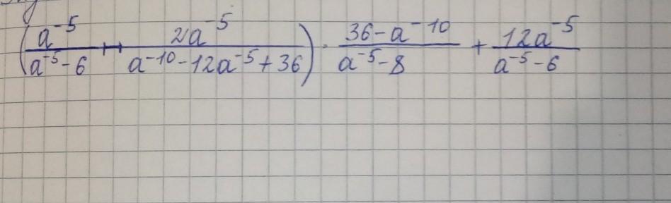
2
Ответ:
___________.................
Приложения:

Sana0005:
спасибо большое...
Вас заинтересует
1 год назад
1 год назад
1 год назад
3 года назад
3 года назад
8 лет назад
8 лет назад