Ответы
Ответ дал:
0
Ответ:
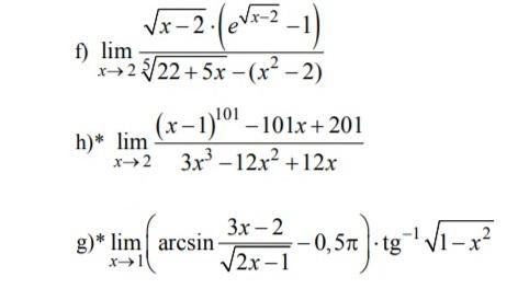
Решение приведено на фото.
Объяснение:
Воспользовались типичными приемами при отыскании пределов функций, а именно : разложением функции окрестности некоторой точки по формуле Тейлора с остаточным членом в форме Пеано, эквивалентность бесконечно малых, делали удобные замены, и в последнем примере воспользовались правилом Лопиталя .
Приложения:



vishnyakovvicto1:
и да, почему так мало баллов поставили за такие трудные задачи ? P.S. отметьте ответ как лучший, пожалуйста)
Вас заинтересует
1 год назад
1 год назад
3 года назад
3 года назад
8 лет назад
8 лет назад