Два шара массами 2 кг и 8 кг двигаются навстречу друг другу со скоростями соответственно 10м/с и 2м/с соответственно. С какой скоростью они будут продолжать движение после неупругого удара.
Ответы
Ответ дал:
0
Ответ:
3,6м/с
Объяснение:
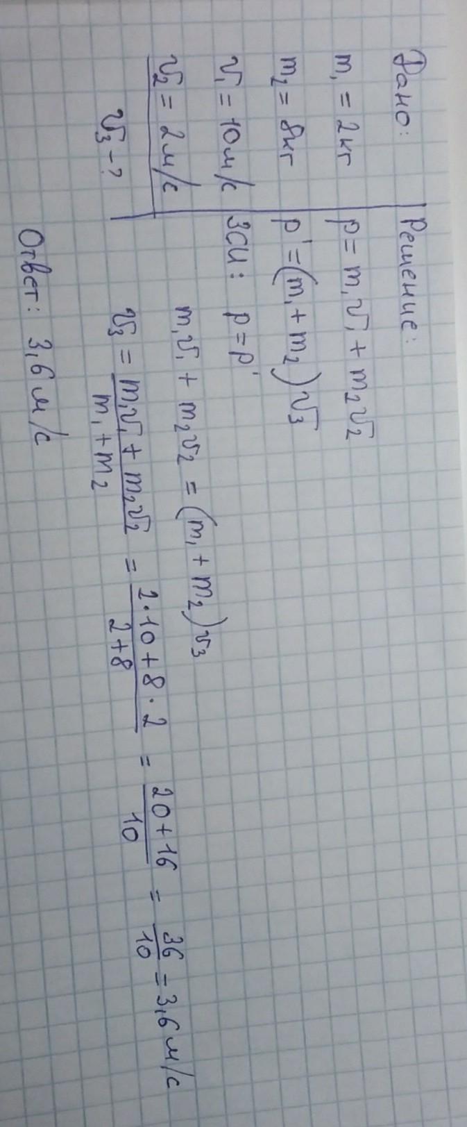
Объяснения на фото
Приложения:

Вас заинтересует
1 год назад
1 год назад
3 года назад
3 года назад
8 лет назад
8 лет назад