• Предмет: Математика
  • Автор: ainurmanap7
  • Вопрос задан 2 года назад

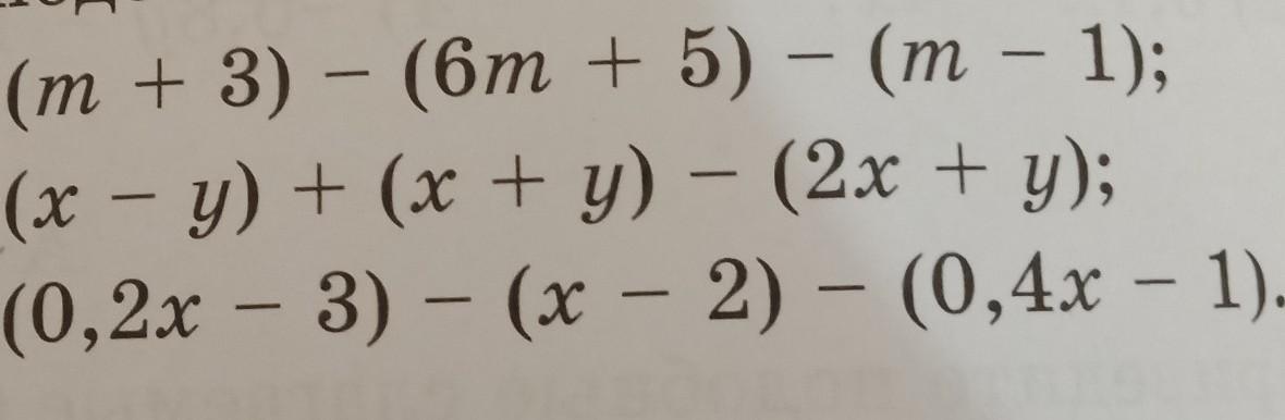
Раскройте скобки, приведите подобные слагаемые
Подробнее опишите пожалуйста ​

Приложения:

Ответы

Ответ дал: Аноним
1

Ответ:

Пошаговое объяснение:

(m+3)-(6m+5)-(m-1)=m+3-6m-5-m+1=-6m-1

(x-y)+(x+y)-(2x+y)=x-y+x+y-2x-y=-y

(0,2x-3)-(x-2)-(0,4x-1)=0,2x-3-x+2-0,4x+1=-1,2x

Вас заинтересует