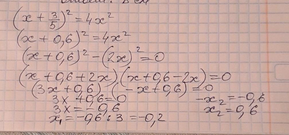
(x+3/5)^2=4x^2 найдите корень уравнения. В ответе укажите сумму всех различных действительных корней данного уравнения.
Ответы
Ответ дал:
1
Ответ:
Решение уравнений с применением ФСУ.
Приложения:


pochtame:
а почему когда перенесли 4x^2 получилось 2x^2 ?
Вас заинтересует
1 год назад
1 год назад
1 год назад
1 год назад
3 года назад
3 года назад
8 лет назад