перевести число 124 из восьмеричной системы в десятичную систему счисления

Ответы

Ответ дал: Diana21332
1

Ответ:

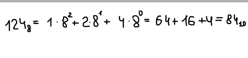
124 в восьмеричной = 84 в десятичной

Объяснение:

Приложения:

Lexacena: Спасибо )
Ответ дал: leviitinaalina
0

Объяснение:

Для перевода восьмеричного числа в десятичное необходимо это число представить в виде суммы произведений степеней основания восьмеричной системы счисления на соответствующие цифры в разрядах восьмеричного числа

Ответ:84

Вас заинтересует