Ответы
Ответ дал:
1
Ответ:
Пошаговое объяснение:
Приложения:

muhinadash4:
Спасибо)
Ответ дал:
0
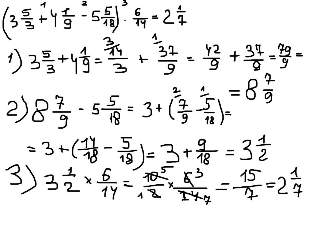
Ответ: 1) 3 5/3 + 4 1/9 - 5 5/18=14/3+37/9-95/18=(14*6+37*2-95)/18=63/18=3,5;
2) 3,5*6/14=21/14=3/2=1,5.
Пошаговое объяснение:
Вас заинтересует
1 год назад
1 год назад
1 год назад
1 год назад
3 года назад
8 лет назад