Ответы
Ответ дал:
0
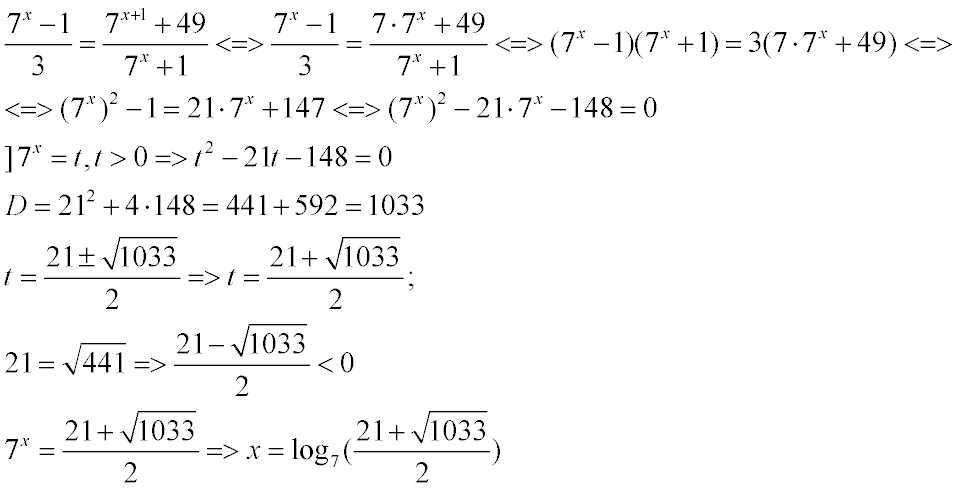
Ну, вот решение до конца тогда. Не знаю, можно ли так логарифм писать. По-моему, в условии ошибка.
Приложения:

Ответ дал:
0
ОК) спасибо большое)
Вас заинтересует
8 лет назад
8 лет назад
10 лет назад
10 лет назад
10 лет назад
10 лет назад