• Предмет: Алгебра
  • Автор: aid28
  • Вопрос задан 2 года назад

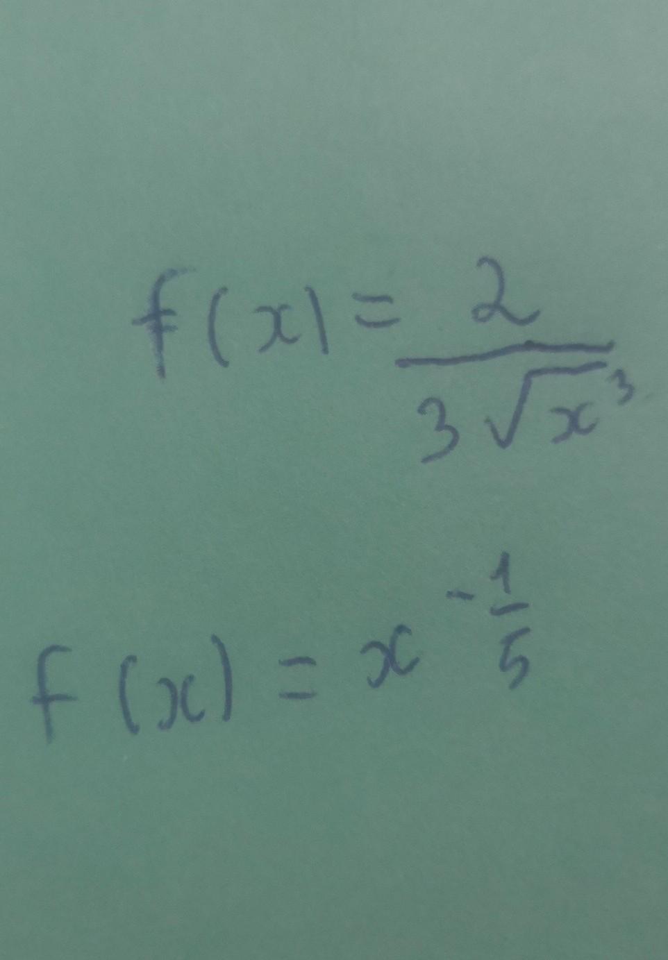
найдите неопределеный интеграл

Приложения:

Ответы

Ответ дал: bena20193
0

Ответ:

Объяснение:

===============

Приложения:
Вас заинтересует