Ответы
Ответ дал:
0
Смотри решение во вложенном файле:
Приложения:

Ответ дал:
0
очень классно, но можешь объяснить, что ты делал после того как разложил его на слагаемые, а то я не совсем догоняю
Ответ дал:
0
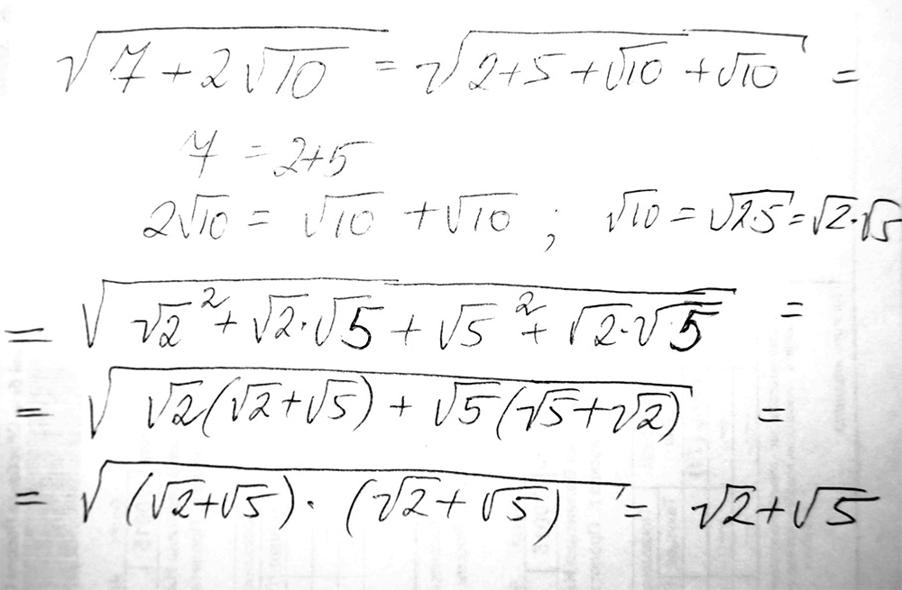
7 = 2 + 5 = √2^2 + √5^2 2√10 = √10 + √10 Получается под корнем 4 слагаемых, которые мы группируем по два: √2^2 + √10 и √5^2 + √10 а потом , учитывая что √10 = √2*5 = √2*√5 из каждой группы выносим общий множитель. √2^2 + √10 = √2^2 + √2*√5 = √2(√2 + √5 ) и √5^2 + √10 = √5^2 + √2*√5 = √5(√5 + √2 ) = √5(√2 + √5 ) А дальше выносим еще раз общий множитель (√2 + (√5 ), и остается в скобках (√2 + √5 ), т.е под корнем получился квадрат числа √2+√5
Вас заинтересует
2 года назад
2 года назад
8 лет назад
10 лет назад
10 лет назад
10 лет назад