• Предмет: Алгебра
  • Автор: xocigih889
  • Вопрос задан 2 года назад

Помогите пожалуйста

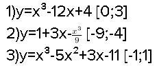
Найти наибольшее и наименьшее значения функции y = f(x) на заданных промежутках.

Приложения:

Ответы

Ответ дал: xxxeol
0

Объяснение:

Задача сводится к двум проблемам - найти экстремумы внутри ООФ через первую производную  или они на границах ООФ.

Задача 1)

y = x³ - 12*x + 4

y'(x) = 3*x² - 12 = = 3*(x-2)*(x+2) = 0

Корни производной: х = 2 и х = -2 - этот вне ООФ.

Ymin(2) = 8 - 24 + 4 = - 12 - минимальное - ответ

Ymax(0) = 4 - максимальное - на границе - ответ

Задача 2

y(x) = - 1/9*x³ + 3*x + 1 -функция

y'(x) = - 1/3*x² + 3 = 0 - производная.

Корни - х = -3 и х = 3 - вне ООФ. Экстремумы - на границах ООФ.

Ymax(-9) = 55 - максимальное - ответ

Ymin(-4) = - 3.89 - минимальное - ответ

Задача 3

y(x) = x³ - 5*x² + 3*x - 11 - функция

y'(x) = 3*x² - 10*x + 3 = 0

x1 = 1/3  и х2 = 3 - вне ООФ.

Ymax(1/3) = - 10.52 -  максимум - ответ

Ymin(-1) = -20 - на границе - ответ.


taxig76914: помоги пожалуйста с той же задачей :3 https://znanija.com/task/33711222
Вас заинтересует