СТЕПЕНИ ЧИСЛА! СРОЧНО! ДАЮ 20 БАЛЛОВ!
Записать частное
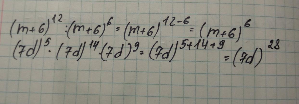
(m+6)^12 : (m+6)^6
(7d)5⋅(7d)14⋅(7d)9
в виде степени.
Ответы
Ответ дал:
0
Ответ:
решение во вложении.......
Приложения:

Ответ дал:
0
Ответ:
Пошаговое объяснение:
(m+6)^12 : (m+6)^6=(m+6)^(12-6)=(m+6)^6
(7d)5⋅(7d)14⋅(7d)9=7d^(5+14+9)=(7d)^28
chocolatecookie3446:
а (m^8)^9⋅m^14 ?
Вас заинтересует
1 год назад
1 год назад
1 год назад
3 года назад
8 лет назад