• Предмет: Математика
  • Автор: golubyatnickov
  • Вопрос задан 2 года назад

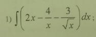
Вычислить неопределённый интеграл.

Приложения:

Ответы

Ответ дал: natalyabryukhova
1

Ответ:

============================

Пошаговое объяснение:

Приложения:
Вас заинтересует