• Предмет: Математика
  • Автор: rostikg
  • Вопрос задан 2 года назад

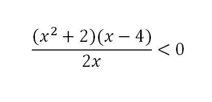
Допоможіть вирішити нерівність \frac{(x^{2}+2)(x-4) }{2x}\  \textless \ 0

Приложения:

Ответы

Ответ дал: OLE122326
0
Вот
Вроде правильно
Вас заинтересует