• Предмет: Математика
  • Автор: vkooktaekook
  • Вопрос задан 2 года назад

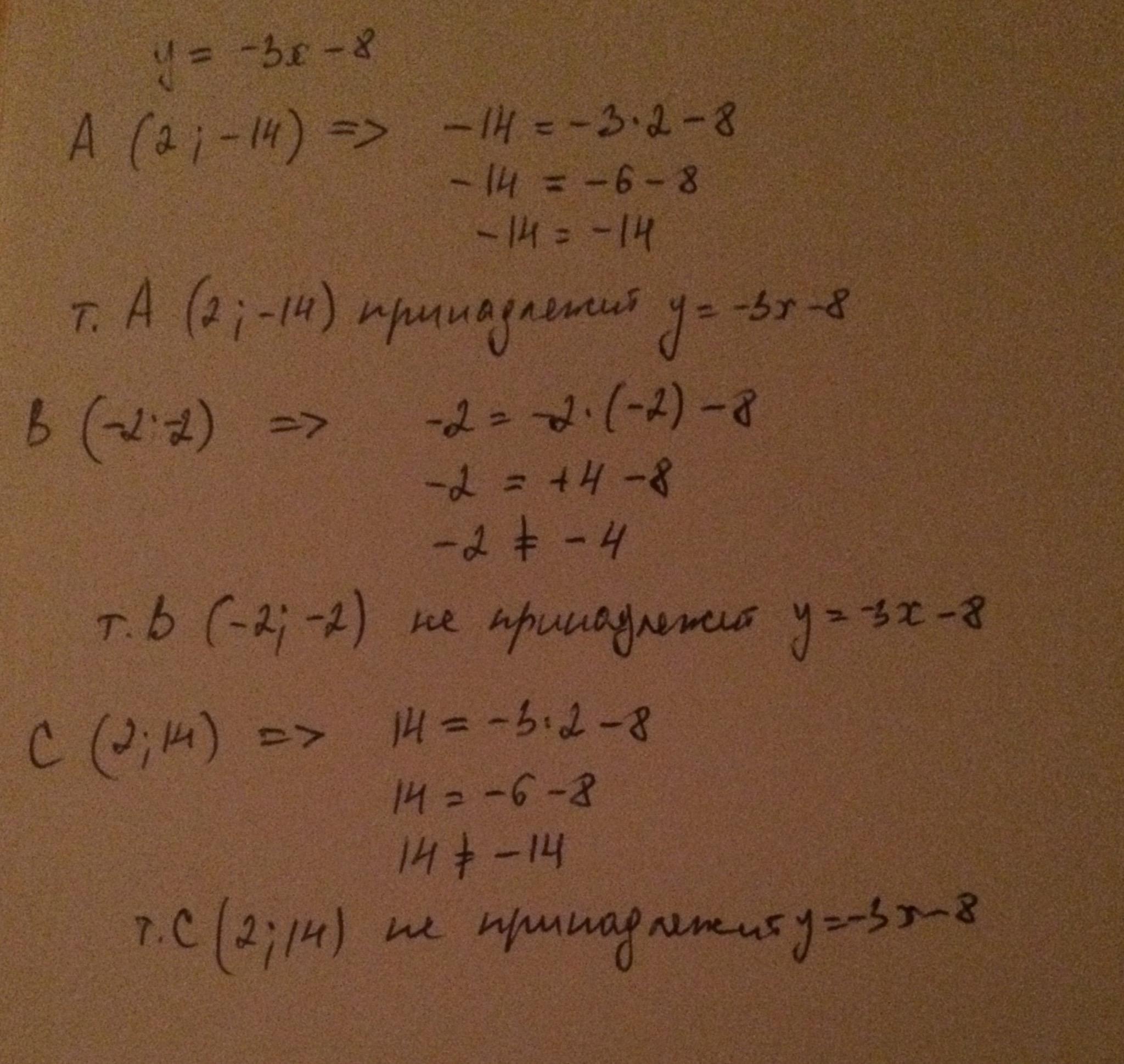
какие из точек принадлежат графику функций
y=-3x-8
A(2;-14)
B(-2;-2)
C(2;14)

Ответы

Ответ дал: tatnik12
1

Ответ: А (2;-14)

Пошаговое объяснение: просто подставляем координаты точек в уравнение. Если равенство верно, то значит точка принадлежит графику.

Приложения:

vkooktaekook: спасибо огромное ❤️❤️❤️❤️
Вас заинтересует