• Предмет: Алгебра
  • Автор: yelol
  • Вопрос задан 2 года назад

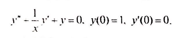
Найти четыре первых члена (отличных от нуля) разложения в ряд решения дифференциального уравнения

Приложения:

Ответы

Ответ дал: Segrif
1

y = a0 + a1 x + a2 x² + a3 x³ + ...

y(0) = a0 = 1

y'(0) = a1 = 0

y'' + y' / x + y =

= (2 a2 + 6 a3 x + 12 a4 x² + 20 a5 x³ + ...) +

+ (2 a2 + 3 a3 x + 4 a4 x² + 5 a5 x³ + ...) +

+ (1 + a2 x² + a3 x³ + ...) = 0

-->

4 a2 + 1 = 0 -> a2 = -1/4

9 a3 = 0 -> a3 = 0

16 a4 + a2 = 0 -> 16 a4 = 1/4 -> a4 = 1/64

25 a5 + a3 = 0 -> a5 = 0

y ≅ 1 - x^2 / 4 + x^4 / 64 + ...

Вас заинтересует