• Предмет: Алгебра
  • Автор: efremovad359
  • Вопрос задан 2 года назад

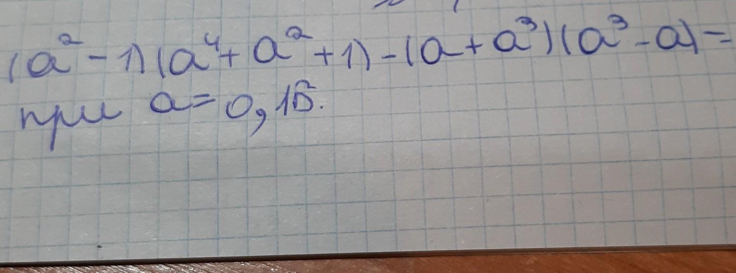
упростить и решить ​

Приложения:

Ответы

Ответ дал: ggasan747
1

Ответ:

сразу ответ. просто переписываешь выражение после мой ответ

= а^6-1-(a^3+a)(a^3-a)= a^6-1-(a^6-a^2) =a^6-1-a^6+a^2 = -1+a^2

при а = 0,15

-1 + 0,15^2 = -0,9775

Ответ дал: vityapavlov01
1

Ответ:

Ну чтомс,приступимс

Объяснение:

(типо тут твоё выражение)

Убираем скобки

a6 + a4 + a2 - a4 -a2 - 1 - a3 -a2 + a6 -a4

a6 - a4 - a2 - 1 + a6 -a4,при a = 0,16

а12 - a8 - a2 - 1

a2 - 1 = 0,0256 - 1 = -0,9744

Еле как,но я его решил,удачи <3

Вас заинтересует