• Предмет: Математика
  • Автор: Аноним
  • Вопрос задан 2 года назад

Помогити пожалуста!!!!!

Приложения:

Ответы

Ответ дал: PUPD
1

Ответ:

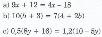
a) 9x + 12 = 4x - 18 \\5x = -30\\x = -6\\b) 10(b + 3) = 7(4 + 2b)\\10b + 30 = 28 + 14b\\4b = 2\\b = \frac{1}{2}\\c) 0.5(8y + 16) = 1.2(10 - 5y)\\4y + 8 = 12 - 6y\\10y = 4\\y = 0.4

Ответ дал: poolman970
0

Пошаговое объяснение:

а)9х + 12 = 4х-18

9х+30=4х

9х-5х=4х

30:5х

Х=-6

Проверка:

-54 +30=-24

б)

10б+30=28+14б

10б+2=14б

4б=2

б=0.5(одна вторая)

с)

(8у+16):2 = 1.2(10-5у)

4у+8=12-6у

4у+8+6у=12

10у+8=12

10у=4

10*у=4

4:10=у

у=0.4

Вас заинтересует