Ответы
Ответ дал:
0
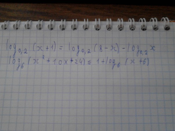
1) x+1=(8-x)/x
x^+2x-8=0
d=36
x1=-4
x2=2
2)x^2+10x+24<=6(x+6)
x^2+4x-12<=0
D=64
x1=-6
x2=2
(-6;0)
x^+2x-8=0
d=36
x1=-4
x2=2
2)x^2+10x+24<=6(x+6)
x^2+4x-12<=0
D=64
x1=-6
x2=2
(-6;0)
Ответ дал:
0
Спасибо за решение Вам!
Вас заинтересует
3 года назад
3 года назад
8 лет назад
11 лет назад
11 лет назад
11 лет назад