Ответы
Ответ дал:
1
Ответ:
Объяснение:
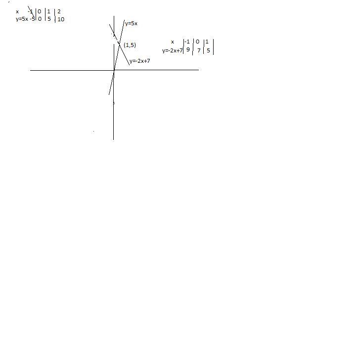
точка пиресечeния x=5 y=1
5x=-2x+7
7x=7
x=1
Приложения:

Вас заинтересует
1 год назад
1 год назад
1 год назад
3 года назад
8 лет назад
8 лет назад