• Предмет: Математика
  • Автор: protalionovdo74
  • Вопрос задан 2 года назад

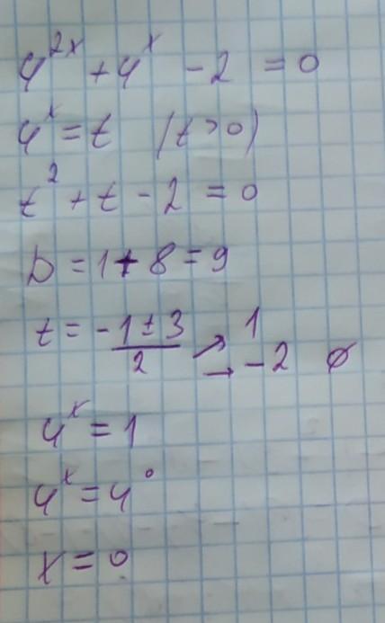
4^2x+4^x-2=0
Помогите пожалуйста решить данное уравнение.

Ответы

Ответ дал: VitalikMaksymchuk
1

Пошаговое объяснение:

рисунок.....................

Приложения:
Вас заинтересует