Дана окружность

Найти уравнения касательНЫХ к этой окружности, которые проходят через точку (0;0)
Ответы
Ответ дал:
2
Ответ:
Объяснение:
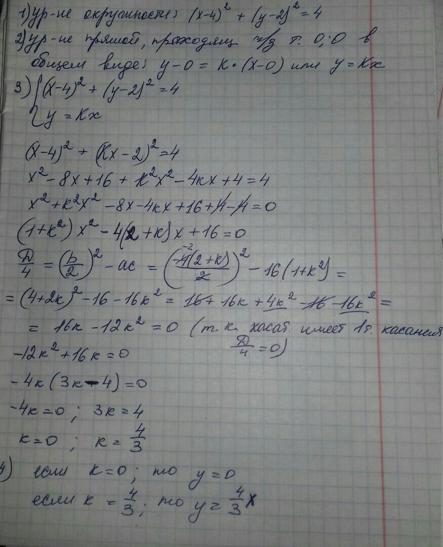
Получилось вот так...
координаты для окружности взяты исходя из формулы окружности: точка центра (4;2) и R=2
y=0 (координаты не требуются)
y=4/3 * x
у(-1,5)=4/3*(-1,5)=-6/3=-2
у(0)=4/3*0=0
у(3)=4/3*3=4
x -1,5 0 3
y -2 0 4
Приложения:
udalova60:
помоги пожалуйста (
Вас заинтересует
2 года назад
2 года назад
2 года назад
2 года назад
3 года назад
9 лет назад
9 лет назад