помогите пожалуйста упростить выражение, номер 409
Приложения:

193719a:
Какой номер?
Ответы
Ответ дал:
1
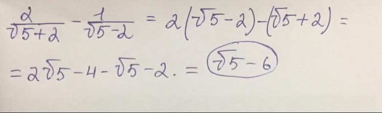
Ответ показан на картинке
Приложения:

Вас заинтересует
1 год назад
3 года назад
8 лет назад