• Предмет: Математика
  • Автор: phoebepain
  • Вопрос задан 2 года назад

35 БАЛЛОВ. ОБЪЯСНИТЕ ПОЖАЛУЙСТА.

Приложения:

Ответы

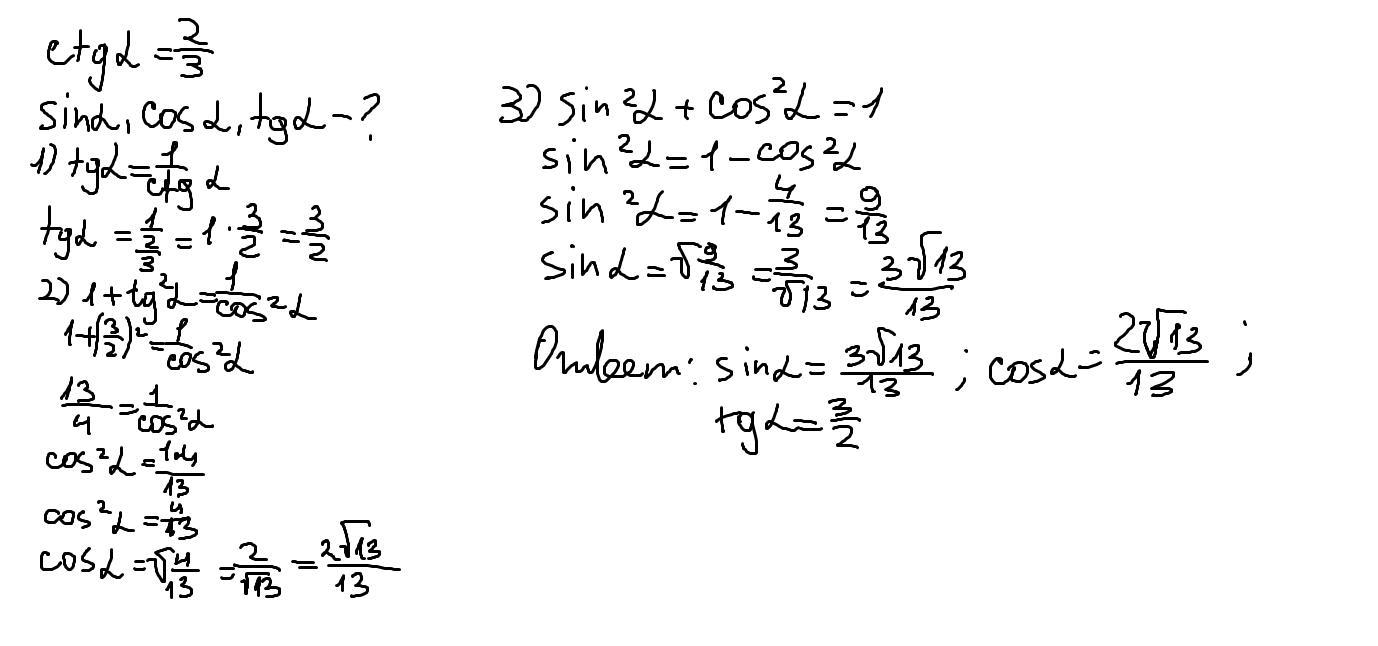
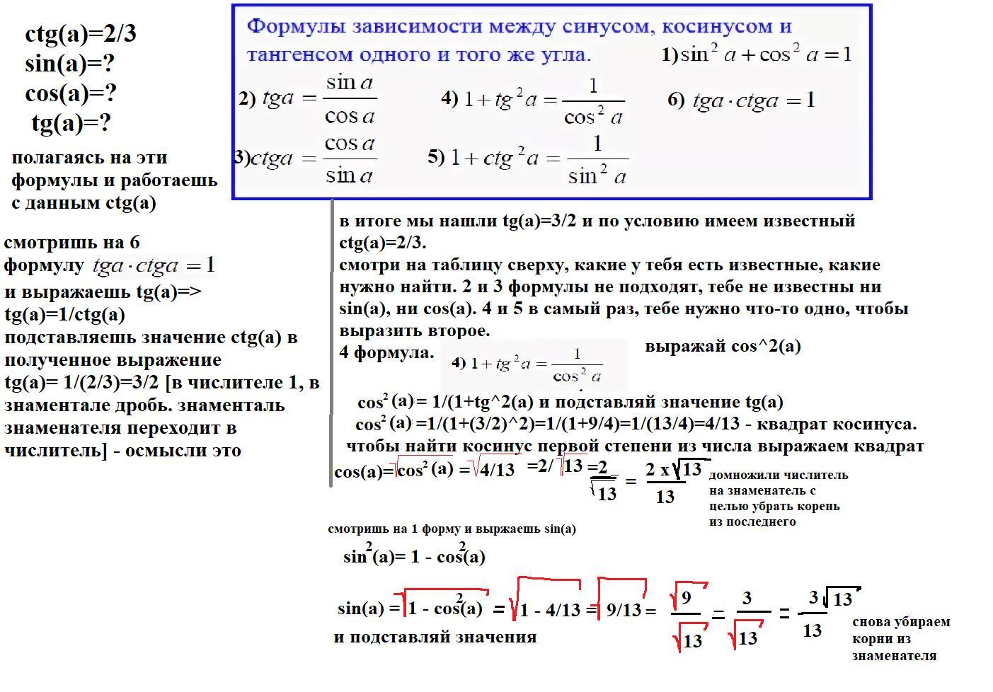
Ответ дал: mechaniktm56
0

Ответ:

Пошаговое объяснение:

Приложения:
Вас заинтересует