• Предмет: Физика
  • Автор: taisiya200598
  • Вопрос задан 11 лет назад

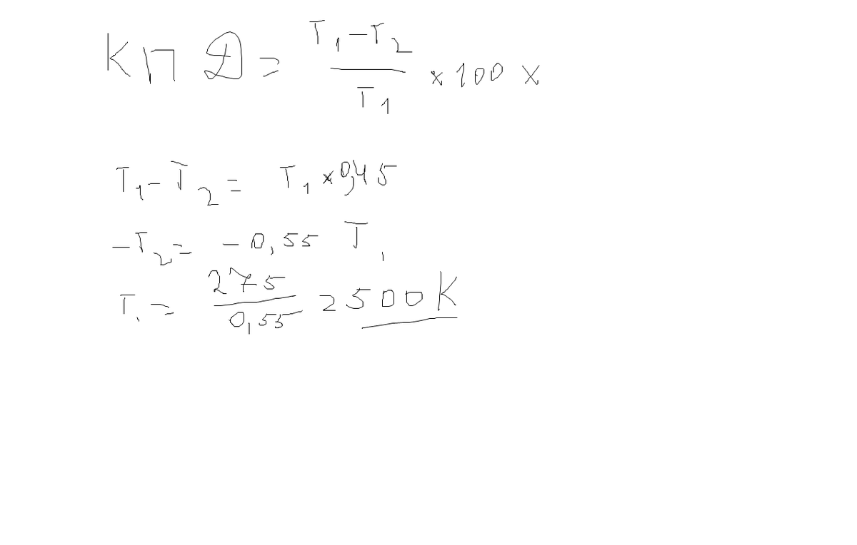
КПД идеальной тепловой машины 45%  Какова температура нагревателя , если температура холодильника 2С?
помогите плииззз(**

Ответы

Ответ дал: abdullino
0
)))))))))))))))))))))))))))))))))))))))))))))
Приложения:
Вас заинтересует