• Предмет: Алгебра
  • Автор: ClarisVerbis
  • Вопрос задан 2 года назад

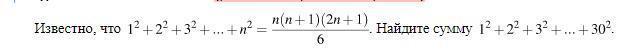
Задание прикреплено.

Приложения:

Ответы

Ответ дал: m11m
1

Ответ:

Объяснение:

!!!!!!!!!!!!!!!!!!!!!!!!!!!

Приложения:
Вас заинтересует