• Предмет: Математика
  • Автор: cheta22874
  • Вопрос задан 2 года назад

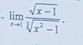
помогите решить предел ​

Приложения:

Ответы

Ответ дал: qhi28676
1

Ответ: 0

Пошаговое объяснение:

lim\frac{\sqrt(x-1)}{\sqrt[3]{x^2-1}} = lim\frac{(x-1)^\frac{1}{2}}{(x^2-1)^(\frac{1}{3})} =  lim\frac{(x-1)^\frac{1}{2}}{((x-1)(x+1))^(\frac{1}{3})} = lim\frac{(x-1)^(\frac{1}{2}-\frac{1}{3})}{(x-1)^(\frac{1}{3}-\frac{1}{3})*(x+1)^(\frac{1}{3})} = lim\frac{(x-1)^\frac{1}{6}}{(x+1)^\frac{1}{3}} = \frac{0}{2} = 0

Вас заинтересует