• Предмет: Алгебра
  • Автор: Аноним
  • Вопрос задан 11 лет назад

помогите решить желательно фотку или граффити:3

Приложения:

Ответы

Ответ дал: Матов
0
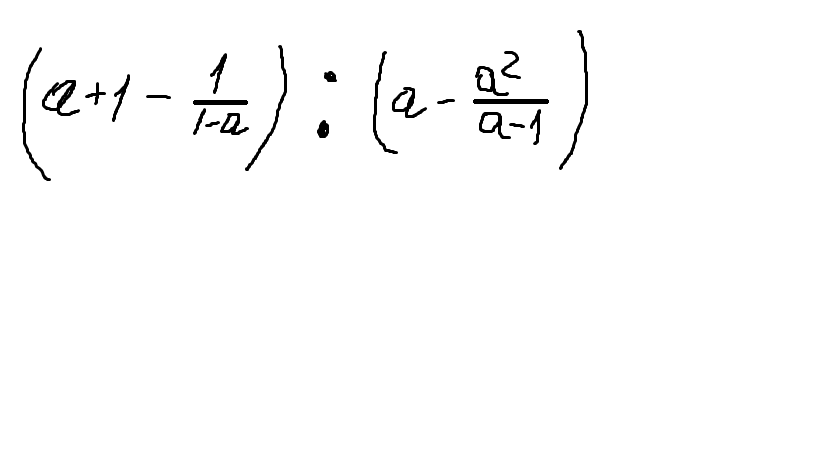
(a+1-frac{1}{1-a}):(a-frac{a^2}{a-1}) =\
(frac{1-a^2-1}{1-a}):(frac{a^2-a-a^2}{a-1})=\
frac{a^2}{a-1}:frac{-a}{a-1}=-a
Вас заинтересует