• Предмет: Математика
  • Автор: Oksana4556
  • Вопрос задан 2 года назад

помогите решить пожалуйста :"(

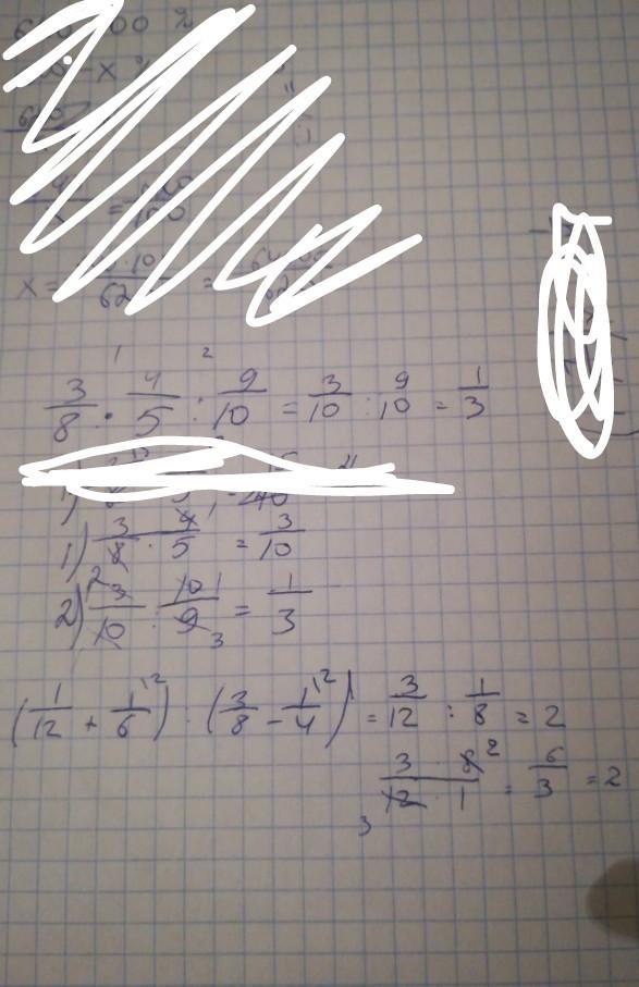
пример: 3/8×4/5÷9/10

пример: (1/12+1/6)÷(3/8-1/4)

уравнение: (1-7/10)x=2целых1/4
заранее спасибо♡​

Ответы

Ответ дал: savkinav978
1

Ответ:

Надеюсь, поймёшь

.....

Приложения:

Oksana4556: спасибо♡, сама так пишу и все понимаю :D
Вас заинтересует