• Предмет: Алгебра
  • Автор: ruslana413
  • Вопрос задан 2 года назад

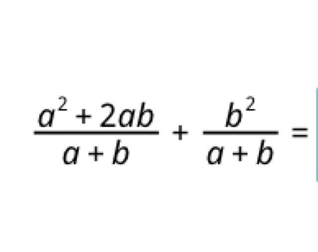
Упростите выражение
Помогите пожалуйста!

Приложения:

Ответы

Ответ дал: lazarchukde
1

Ответ:

=(a+b)^2/a+b=a+b

Объяснение:

При сложении а^2+2ab и b^2 получаем квадрат суммы и по формуле сворачиваем до (a+b)^2, в итоге знаменатель и числитель сокращаются.

Вас заинтересует