• Предмет: Математика
  • Автор: Khatunana
  • Вопрос задан 2 года назад

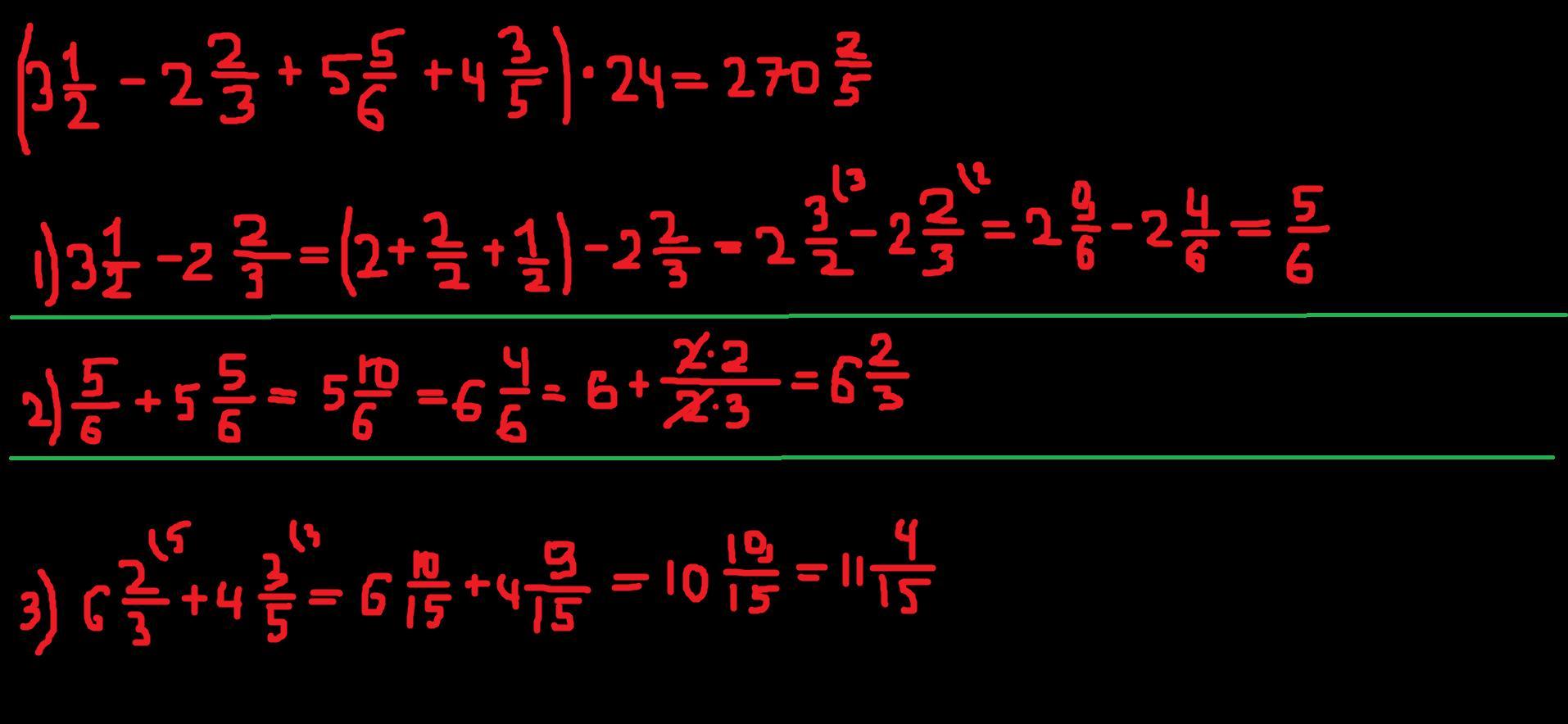
(3 1/2 -2 2/3 + 5 5/6 + 4 3/5) ×24 пж решите по действиям

Ответы

Ответ дал: Аноним
2

Ответ: 270 2/5

Пошаговое объяснение: на фото! удачи в учёбе ! ↓↓↓↓ !!

Приложения:
Вас заинтересует