Ответы
Ответ дал:
0
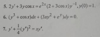
Рассмотрите хотя бы первое ДУ (ДУ Бернулли); ответ отмечен цветным.
Приложения:

Вас заинтересует
1 год назад
1 год назад
1 год назад
3 года назад
8 лет назад