• Предмет: Математика
  • Автор: ponimaskinvova
  • Вопрос задан 2 года назад

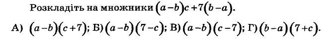
хелпаните решить плиз

Приложения:

Ответы

Ответ дал: NastiaG03
1

(a-b)c+7(b-a) = c*(a-b)+7*(-(a-b)) = c*(a-b)-7(a-b) = (a-b)(c-7)

Ответ: В

Вас заинтересует