Ответы
Ответ дал:
0
Ответ:
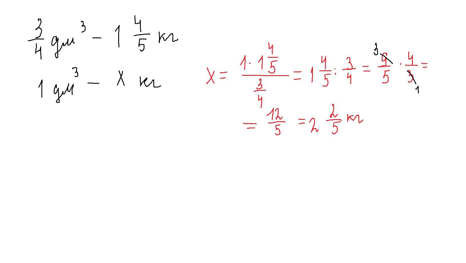
2 2\5 кг
Пошаговое объяснение:
Приложения:

Вас заинтересует
1 год назад
1 год назад