• Предмет: Алгебра
  • Автор: Aisberc
  • Вопрос задан 2 года назад

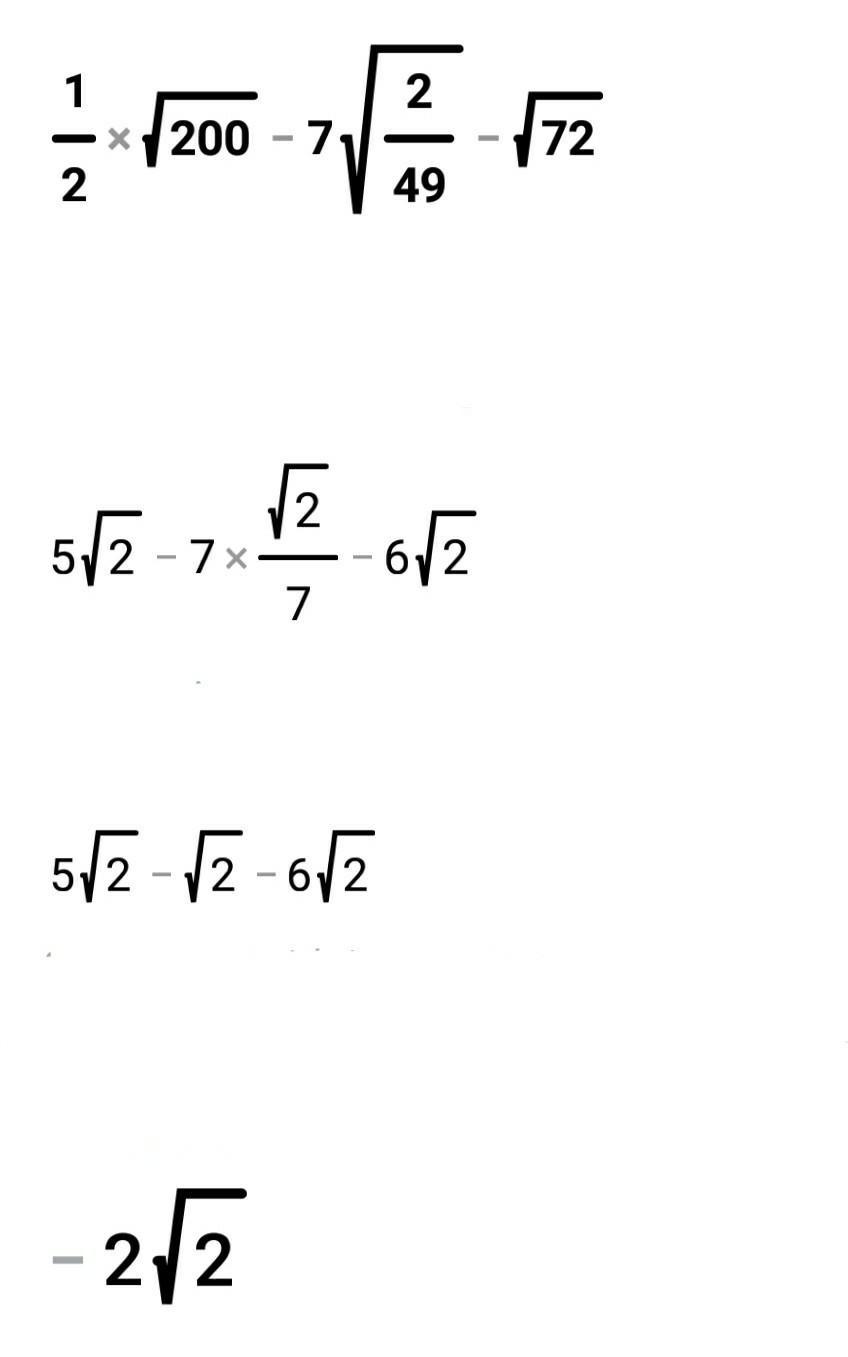
1/2√200-7√2/49-√72 помогите СРОЧНО позя

Ответы

Ответ дал: angelinaalekseevna66
1

Объяснение: чтобы вынести число из-под корня, нужно разложить его на множители

Приложения:
Ответ дал: larisademchuk4
0

Ответ:

ответ на вопрос на фото

Объяснение:

,

Приложения:
Вас заинтересует