• Предмет: Физика
  • Автор: David5127
  • Вопрос задан 2 года назад

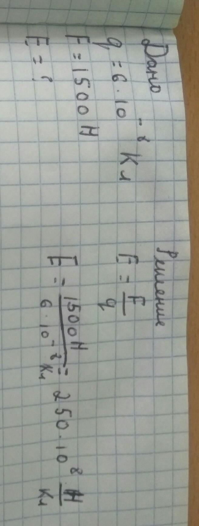
Какую напрежоность создает заряд 6×10минус 8 степное кл в тоғысу с силой 1500Н

Ответы

Ответ дал: SuperAtom
0

Ответ:

Вот решение:

Объяснение:

Решай по формуле напряженности

Приложения:
Вас заинтересует