• Предмет: Алгебра
  • Автор: мистербеспалевность
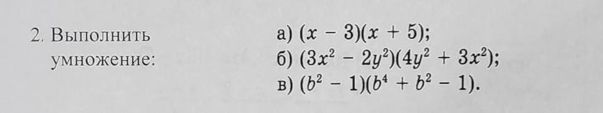
  • Вопрос задан 2 года назад

пожалуйста помогите​

Приложения:

Ответы

Ответ дал: kudimovapolina
0

Ответ:

а)x²+5x-3x+15=x²+2x+15

б)12x²y²+9x⁴-8y⁴-6x²y²=9x⁴-8y⁴+6x²y²

в)b⁶+b⁴-b²-b⁴-b²+1=b⁶-2b²+1

Вас заинтересует