• Предмет: Математика
  • Автор: K1rysha
  • Вопрос задан 2 года назад

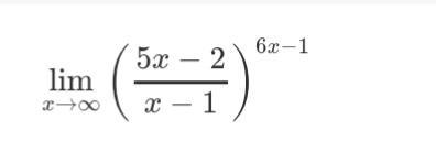
Найти предел функции

Приложения:

Ответы

Ответ дал: Kuкush
0

Ответ:

Пошаговое объяснение:

\lim_{x \to \infty} (\frac{5x-2}{x-1})^{6x-1}= \lim_{x \to \infty} e^{ln(\frac{5x-5+3}{x-1})^{6x-1}}=\lim_{x \to \infty} e^{(6x-1)ln(5+\frac{3}{x-1})}==\lim_{x \to \infty} {(6x-1)ln(5+\frac{3}{x-1})}=ln5*\lim_{x \to \infty} {(6x-1)=

Значит, \lim_{x \to \infty} e^{(6x-1)ln(5+\frac{3}{x-1})}=

Вас заинтересует