• Предмет: Математика
  • Автор: COBRRUSSIA
  • Вопрос задан 2 года назад

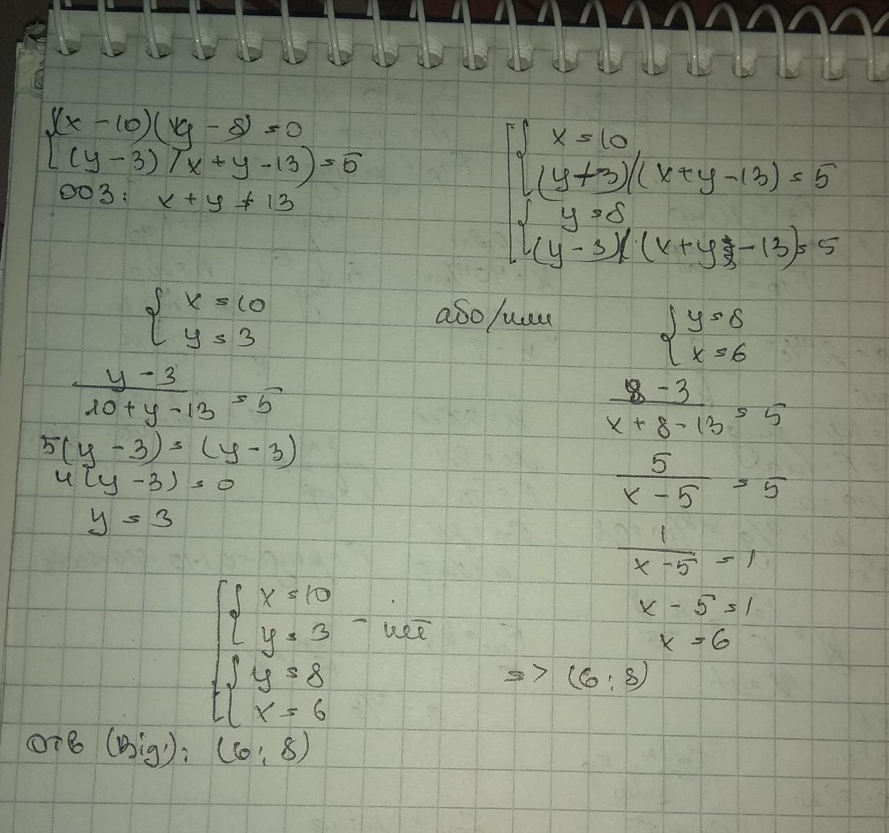
решить систему уравнений (x-10)(y-8)=0 (сверху) (y-3)/(x+y-13)=5 (снизу) Срочно!

Ответы

Ответ дал: rina938
2

Ответ:

Ответ вы можете наблюдать на фото

Приложения:
Вас заинтересует