• Предмет: Математика
  • Автор: Cute00g
  • Вопрос задан 2 года назад

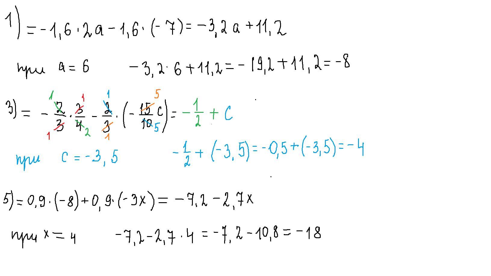
Можно,пожалуйста сделать 1,3,5 примеры​

Приложения:

Ответы

Ответ дал: angelinaalekseevna66
1

Ответ:

Пошаговое объяснение:

Приложения:

parus77: в 1 примере проверьте 3,2*6 должен быть другой ответ.
angelinaalekseevna66: Да, точно, спасибо, сейчас исправлю
Ответ дал: parus77
1

Ответ:

Пошаговое объяснение:

решение смотри внизу

Приложения:
Вас заинтересует