• Предмет: Алгебра
  • Автор: Amiraxxl
  • Вопрос задан 2 года назад

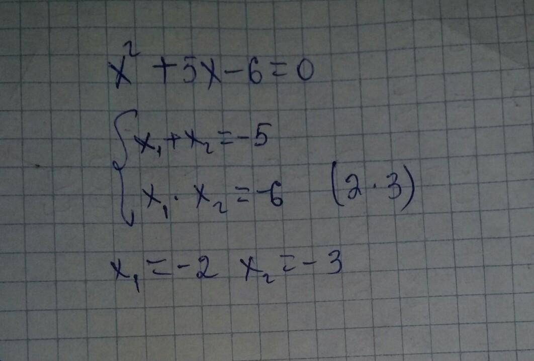
Помогите решить
х^2+5x-6=0

Ответы

Ответ дал: angell0001
2

Объяснение:

УДАЧИ ВАМ!!!!!!..!..!.!.!..!.!.!.!..!.!.!

Приложения:

angell0001: нет :-) Я ваш прошлый stella200564 ;-)
angell0001: если спомнишь конечно :-)
banushh200: Помню конечно
angell0001: :-)
angell0001: вдруг подумала,что забыли меня :-))))
angell0001: давай ка подпишись я подписалась на тебя моя милая ❤♥❤♥
angell0001: нууу давай
angell0001: :-))))
banushh200: подписалась
angell0001: спасибо дорогая♥
Вас заинтересует