• Предмет: Алгебра
  • Автор: kdgavr
  • Вопрос задан 2 года назад

10 класс, логарифмы ​

Приложения:

Ответы

Ответ дал: Medved23
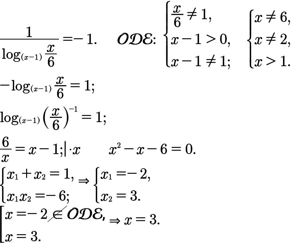
1

Ответ: 3.

Объяснение: во вложении

Приложения:
Вас заинтересует