• Предмет: Алгебра
  • Автор: nyca2001
  • Вопрос задан 2 года назад

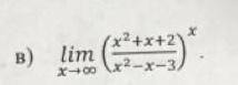
Помогите решить математику

Приложения:

Ответы

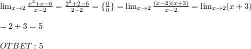
Ответ дал: mamilay
0
Ответ: 5
Объяснение:(фото)
Приложения:
Вас заинтересует