• Предмет: Математика
  • Автор: Svebrik
  • Вопрос задан 2 года назад

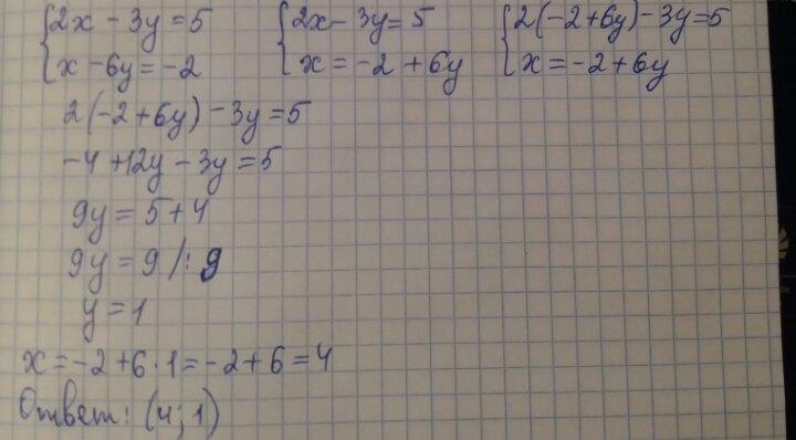
Решение системы уравнений

2x-3y=5
x-6y=-2


naidaamirhanova226: Чтобы найти решение системы уравнений

2x - 3y = 5;

x - 6y = -2,

нам проще всего будет использовать метод подстановки. Выразим из второго уравнения систему переменную x и получим систему:

x = 6y - 2;

2x - 3y = 5.

Подставляем во второе уравнение вместо переменной x выражение 6y - 2:

x = 6y - 2;

2(6y - 2) - 3y = 5.

Ищем значение переменной y из второго уравнения:
12y - 4 - 3y = 5;
12y - 3y = 5 + 4;
9y = 9;
y = 9 : 9;
y = 1.
Система уравнений:x=6 * 1 -2 = 6 - 2 = 4;y= 1.Ответ: (4; 1)реш.с

Ответы

Ответ дал: SunnyStorm
0

Удачи и лёгких решений!

Приложения:
Вас заинтересует