Ответы
Ответ дал:
0
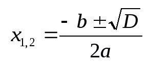
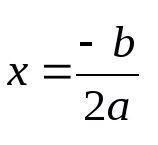
Ответ: Расписываешь по формуле квадрата сумм или разности, потом находишь D = b² - 4ac, а затем находишь корни по формуле (3 .) , если D=0, то ИЩЕШЬ ОДИН КОРЕНЬ ПО ДРУГОЙ ФОРМУЛЕ (4 .)
Объяснение:
Приложения:




Аноним:
3 формула не нужна жля него (похоже на 7класс) если это так, то точно не нужна...
Ответ дал:
1
- (4x - 5b) ^{2} = 16x ^{2} - 40xb + 25b ^{2}
- (6 - x) ^{2} = 36 - 12x + x ^{2}
- (7 - 2y) ^{2} = 49 - 28y + 4y ^{2}
Вас заинтересует
1 год назад
1 год назад
3 года назад
3 года назад
8 лет назад