• Предмет: Алгебра
  • Автор: leonardo737
  • Вопрос задан 2 года назад

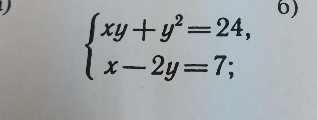
решите уравнение двойной степени ​

Приложения:

Ответы

Ответ дал: DayCat04
0

Объяснение:

{ху+у²=24 {(7у+2у)+у²=24

{х-2у=7 {х=7+2у

(7у+2у)+у²=24

7у+2у+у²=24

у²+9у-24=0

D=9²-4*(-24)=81+96=177

D=корень из 177

х1=-9у±корень из 177/2

Вас заинтересует