• Предмет: Химия
  • Автор: SlimeFun
  • Вопрос задан 2 года назад

Помогите с химией пожалуйста срочно

Приложения:

Ответы

Ответ дал: coolpandaRF
0

Номер 1.

1) Na2O2 + 2Na(изб.) = 2Na2O

Условия (над стрелкой пиши): прокаливание (либо просто t)

2) Na2O + CO2 = Na2CO3

3) Na2CO3 + H2SO4 = Na2SO4 + CO2↑ + H2O

4) Na2SO4 + BaCl2 = 2NaCl + BaSO4↓

5) NaCl + AgNO3 = NaNO3 + AgCl↓

Номер 2.

*Я так понимаю надо написать окислитель и восстановитель.*

Na + 2HNO3 = NaNO3 + NO2 + H2O

Na(0) - e = Na(+1) - восстановитель

N(+5) + e = N(+4) - окислитель

P.S. (0), (+1), (+5), (+4) - это все сверху пишу (как степень) - степень окисления.

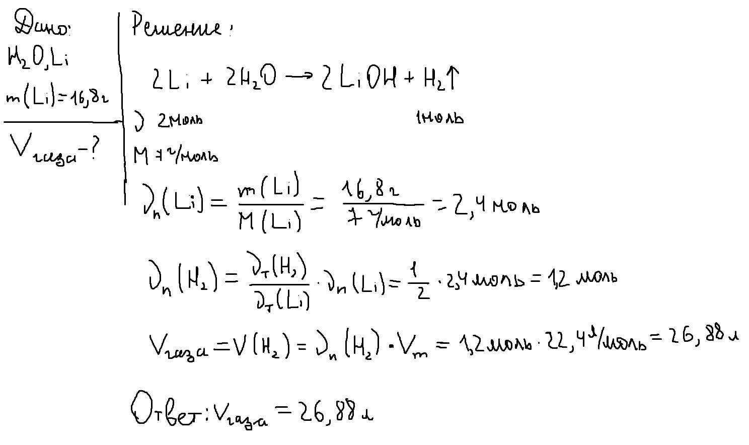
Номер 3.

см. приложение

Ответ: 26.88 л

Приложения:
Вас заинтересует